人工智能专业-基于机器学习的股票预测
毕业设计-基于机器学习的股票预测:越来越多的学者投入到股市预测的研究中,探求股市发展规律,也不断有新的科学技术应用到股市预测,以求能够预先掌握其发展趋势。股市如今已成为中国经济发展不可或缺的重要组成部分,由于其高回报率,一直是备受欢迎的投资之一。然而股票价格波动率取决于诸多因素,如股票政策、恐慌情绪、股本、利率、期权、认股权证、大型金融公司的合并和所有权等。科学有效的方法用于股票市场的“智能”预测
目录
前言
📅大四是整个大学期间最忙碌的时光,一边要忙着备考或实习为毕业后面临的就业升学做准备,一边要为毕业设计耗费大量精力。近几年各个学校要求的毕设项目越来越难,有不少课题是研究生级别难度的,对本科同学来说是充满挑战。为帮助大家顺利通过和节省时间与精力投入到更重要的就业和考试中去,学长分享优质的选题经验和毕设项目与技术思路。
🚀对毕设有任何疑问都可以问学长哦!
选题指导: https://blog.csdn.net/qq_37340229/article/details/128243277
大家好,这里是海浪学长毕设专题,本次分享的课题是
🎯基于机器学习的股票预测
课题背景和意义
实现技术思路
一、传统股票预测模型
传统的股票预测模型主要是基于统计学与概率论来进行预测研究。例如有传统时间序列模型、隐马尔可夫模型等股票预测研究的传统方法模型

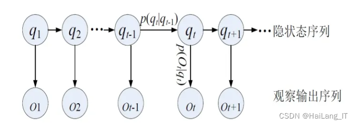
隐马尔可夫模型(HiddenMarkovModel,HMM)是离散马尔可夫模型的衍生模型,Hamilton首次将 HMM 作为机制转移模型用于经济领域经济周期的预测,在此之后HMM 从最初的信息技术领域不断发展到经济金融领域,模型在不断的改进完善。

在隐马尔可夫模型(HMM)中,我们不知道模型具体的状态序列,只知道状态转移的概率,即模型的状态转换过程是不可观察的。因此,该模型是一个双重随机过程,包括模型的状态转换和特定状态下可观察事件的随机。HMM图解:
二、新型股票预测方法
基于SVM 的预测模型

基于决策树的预测模型
决策树是一种成熟的数据挖掘技术,基于决策树衍生出许多算法来适合线性和非线性的数据集进行趋势预测,XGBoost是一种基于梯度提升决策树的改进算法,能够有效地构建增强树并且并行运行,包括回归树和分类树。

通过网格搜索算法对 XGBoost模型进行参数优化构建了 GS-XGBoost股票预测模型,该模型相较于 XGBoost原模型、GBDT模型以及SVM 模型在 MSE、RMSE与 MAE三个评价指标上都表现出了较好的预测结果。
基于神经网络的预测模型
1)遗传神经网络
遗传算法是一种基于自然选择和自然遗传的自适应优化搜索算法。但是,它收敛速度慢,学习效率低,很容易达到局部最小值,利用PCA算法对BP神经网络进行优化,建立了GABP股票预测模型,该优化模型提高了股票价格的预测精度

2)卷积神经网络
卷积神经网络(ConvolutionalNeuralNetwork,CNN)一般包含卷积层和池化层,其显著的特点就是能够感知局部视野、权重共享以及弱化特征具体位置,可以使参数训练规模大大缩小。

3)长短期记忆神经网络 LSTM
长短期记忆神经网络(longshort-term memorynetworks,LSTM)是一种时间递归神经网络,适合处理和预测时间序列中间隔和延迟相对较长的重要事件,这一技术特征与股票预测问题有着很高的契合度,将普通循环网络中的隐藏节点设计为自循环形式,记忆单元维持一个误差流,进而可以记忆长时期的有效信息,避免梯度爆炸和梯度消失。

4)径向基神经网络 RBF

建立神经网络模型预测股票涨跌趋势,一般是先确定数据基本特征,选择合适的模型,然后是获取训练模型最优参数,最后对测试数据进行预测,一般可以总结为:

实现效果图样例
人工智能股票预测系统:

我是海浪学长,创作不易,欢迎点赞、关注、收藏、留言。
毕设帮助,疑难解答,欢迎打扰!
最后
openvela 操作系统专为 AIoT 领域量身定制,以轻量化、标准兼容、安全性和高度可扩展性为核心特点。openvela 以其卓越的技术优势,已成为众多物联网设备和 AI 硬件的技术首选,涵盖了智能手表、运动手环、智能音箱、耳机、智能家居设备以及机器人等多个领域。
更多推荐
所有评论(0)