肺炎识别分类-人工智能毕设
本文介绍了基于深度学习的肺炎图像识别项目,该项目使用9种CNN和Transformer模型(如ResNet、VGG、Swin Transformer等)进行肺炎分类,并采用CBAM注意力机制优化模型性能。项目包含完整的数据集处理、模型训练、对比实验(准确率达92%以上)、混淆矩阵和ROC曲线分析,以及基于Django的演示系统。该项目能辅助医生精准诊断肺炎类型,具有临床价值和科研意义。
大家好,我是B站的UP主:我喜欢吃小熊饼干。我在CSDN会写一些文章介绍我做的项目,这些项目我都录制了详细的讲解视频(约4-6个小时的内容量),讲解基础知识,环境配置,代码使用等内容。
详细了解请移步:
详细讲解视频合集-哔哩哔哩视频-我喜欢吃小熊饼干的主页https://space.bilibili.com/284801305
几分钟快速预览项目效果的演示视频:
【计算机毕设】基于深度学习的肺炎图像识别【肺炎识别】【CNN】【Transformer】【卷积神经网络】
详细的讲解视频合集:
- 合集第一集:主要讲对整个教程的介绍,深度学习项目的基本做法和基本概念。然后介绍具体该项目的基本做法。如何去扩张项目,增加更多的内容。(这里不会涉及到代码,纯从项目的做法的角度,以PPT讲解的方式带大家入门,建立深度学习的基本概念)
- 合集第二集:毕设选题指导,毕设服务等内容
- 合集第三集:从代码使用和演示的角度,介绍项目的内容。科普深度学习环境配置的知识,如何配置项目,如何使用项目,更换数据集训练,完成特定的课题。
- 合集第四集:讲解文档相关的内容,开题报告、开题ppt、开题答辩,论文写作,论文答辩等
第一集和第三集比较重要,可以整体看下这两个视频。
下面我用文字介绍一下项目的内容
项目的背景意义:
肺炎作为全球高发的呼吸系统疾病,可由细菌、病毒、支原体等多种病原体引发,其病情进展迅速,若未能及时精准诊断与干预,可能发展为重症肺炎,甚至危及生命,尤其对老人、儿童及免疫力低下人群构成严重威胁。同时,肺炎与普通呼吸道感染(如支气管炎、感冒引发的肺部炎症)在影像表现上存在相似性,精准鉴别是制定有效治疗方案的关键 —— 不同病原体引发的肺炎,治疗药物与疗程差异显著,误诊不仅可能导致治疗无效,还可能引发耐药性或过度医疗问题。然而,传统肺炎诊断模式长期受限于专业资源分布不均、人工鉴别依赖经验、诊断时效性不足等痛点,难以满足临床诊疗与公共卫生防控的需求:在诊疗环节,医生需凭借肉眼解读胸部影像(如胸片、CT)中的病灶特征,早期肺炎病灶细微且与正常肺组织界限模糊,易因主观判断差异或经验不足导致误诊、漏诊,延误最佳治疗时机;在医疗资源分配上,具备呼吸系统疾病专业诊断能力的医师多集中于大型三甲医院,基层医疗机构因缺乏技术支撑与专业人才,难以开展精准的肺炎鉴别,导致患者面临 “异地就医奔波、诊断等待周期长” 的困境;在公共卫生层面,肺炎尤其是传染性肺炎(如病毒性肺炎)的早期筛查与防控依赖高效诊断手段,传统人工诊断效率低、覆盖范围有限,难以快速响应疫情防控需求。
随着公众健康意识提升与公共卫生体系建设完善,社会对肺炎诊疗的精细化、标准化、可及性提出了更高要求。一方面,患者渴望在疾病早期获得明确诊断,避免因病情延误加重身体负担与治疗成本;另一方面,医疗体系亟需通过技术创新突破诊断瓶颈,缓解优质医疗资源的供需矛盾,推动基层医疗机构肺炎诊疗能力提升,同时为公共卫生防控提供高效工具;此外,在肺炎科研领域,传统影像数据的收集与分析依赖人工标注,难以形成规模化、标准化的研究样本库,制约了肺炎发病机制、病原体溯源、新型治疗技术(如靶向药物、精准抗感染方案)的创新突破。
肺炎图像分类项目依托计算机视觉与深度学习技术,突破人工诊断的经验壁垒与技术局限,能够精准捕捉胸部影像中肺炎病灶的形态特征(如病灶大小、密度、分布范围)、纹理变化(如磨玻璃影、实变影的细微差异)及与周围组织的关联关系,实现对肺炎类型、严重程度的高效区分与风险评估。这一技术突破的价值不仅在于解决当下诊疗痛点,更在于为肺炎防治体系升级提供底层支撑:在临床诊疗层面,它能为医生提供客观的辅助诊断依据,降低早期误诊漏诊风险,帮助医生更精准地判断病原体类型与病情严重程度,制定个体化治疗方案,提升患者治愈率与康复速度;在医疗资源均衡化层面,它可赋能基层医疗机构,缩小不同地区诊疗水平差距,让偏远地区患者也能获得接近优质医疗资源的诊断服务,缓解 “看病难” 问题;在公共卫生防控层面,它能提升肺炎尤其是传染性肺炎的早期筛查效率,助力快速识别病例、阻断传播链条,为疫情防控争取宝贵时间;在科研创新层面,它能推动肺炎影像数据的标准化分析与共享,为疾病机制研究、新型诊疗技术研发、公共卫生预警模型构建提供数据支撑,加速精准医疗在呼吸系统疾病领域的落地。
从长远来看,肺炎图像分类技术不仅是呼吸系统疾病诊疗领域的技术革新,更是推动医疗服务均等化、精准化与公共卫生防控高效化的重要纽带,其价值贯穿于疾病诊疗、公共卫生、科研创新、健康管理等多个维度,对守护公众呼吸系统健康、完善公共卫生应急体系、推动健康中国建设具有深远的意义。
项目的技术路线图
项目的数据集信息如下:

项目里实现了9种常见的模型,包括:
CNN架构的模型:
1.AlexNet
2.VGG
3.ResNet
4.MobileNet
5.DenseNet
6.ConvNeXt
7.ShuffleNet
Transformer架构的模型:
8. Swin_Transformer
9. VIT
在我的设计的项目里,一般结构如下:
model.py: 定义模型结构
train.py:训练模型
csv文件夹里是每次训练模型生成的日志文件
logs文件夹里是TensorBoard的日志文件
weights文件夹里存储最终训练得到的模型。
举例子,ResNet模型的核心代码如下(其他模型类似,不在赘述):
class BasicBlock(nn.Module):
expansion = 1
def __init__(self, in_channel, out_channel, stride=1, downsample=None, **kwargs):
super(BasicBlock, self).__init__()
self.conv1 = nn.Conv2d(in_channels=in_channel, out_channels=out_channel,
kernel_size=3, stride=stride, padding=1, bias=False)
self.bn1 = nn.BatchNorm2d(out_channel)
self.relu = nn.ReLU()
self.conv2 = nn.Conv2d(in_channels=out_channel, out_channels=out_channel,
kernel_size=3, stride=1, padding=1, bias=False)
self.bn2 = nn.BatchNorm2d(out_channel)
self.downsample = downsample
def forward(self, x):
identity = x
if self.downsample is not None:
identity = self.downsample(x)
out = self.conv1(x)
out = self.bn1(out)
out = self.relu(out)
out = self.conv2(out)
out = self.bn2(out)
out += identity
out = self.relu(out)
return out
class Bottleneck(nn.Module):
expansion = 4
def __init__(self, in_channel, out_channel, stride=1, downsample=None,
groups=1, width_per_group=64):
super(Bottleneck, self).__init__()
width = int(out_channel * (width_per_group / 64.)) * groups
self.conv1 = nn.Conv2d(in_channels=in_channel, out_channels=width,
kernel_size=1, stride=1, bias=False) # squeeze channels
self.bn1 = nn.BatchNorm2d(width)
# -----------------------------------------
self.conv2 = nn.Conv2d(in_channels=width, out_channels=width, groups=groups,
kernel_size=3, stride=stride, bias=False, padding=1)
self.bn2 = nn.BatchNorm2d(width)
# -----------------------------------------
self.conv3 = nn.Conv2d(in_channels=width, out_channels=out_channel*self.expansion,
kernel_size=1, stride=1, bias=False) # unsqueeze channels
self.bn3 = nn.BatchNorm2d(out_channel*self.expansion)
self.relu = nn.ReLU(inplace=True)
self.downsample = downsample
def forward(self, x):
identity = x
if self.downsample is not None:
identity = self.downsample(x)
out = self.conv1(x)
out = self.bn1(out)
out = self.relu(out)
out = self.conv2(out)
out = self.bn2(out)
out = self.relu(out)
out = self.conv3(out)
out = self.bn3(out)
out += identity
out = self.relu(out)
return out
class ResNet(nn.Module):
def __init__(self,
block,
blocks_num,
num_classes=1000,
include_top=True,
groups=1,
width_per_group=64):
super(ResNet, self).__init__()
self.include_top = include_top
self.in_channel = 64
self.groups = groups
self.width_per_group = width_per_group
self.conv1 = nn.Conv2d(3, self.in_channel, kernel_size=7, stride=2,
padding=3, bias=False)
self.bn1 = nn.BatchNorm2d(self.in_channel)
self.relu = nn.ReLU(inplace=True)
self.maxpool = nn.MaxPool2d(kernel_size=3, stride=2, padding=1)
self.layer1 = self._make_layer(block, 64, blocks_num[0])
self.layer2 = self._make_layer(block, 128, blocks_num[1], stride=2)
self.layer3 = self._make_layer(block, 256, blocks_num[2], stride=2)
self.layer4 = self._make_layer(block, 512, blocks_num[3], stride=2)
if self.include_top:
self.avgpool = nn.AdaptiveAvgPool2d((1, 1)) # output size = (1, 1)
self.fc = nn.Linear(512 * block.expansion, num_classes)
for m in self.modules():
if isinstance(m, nn.Conv2d):
nn.init.kaiming_normal_(m.weight, mode='fan_out', nonlinearity='relu')
def _make_layer(self, block, channel, block_num, stride=1):
downsample = None
if stride != 1 or self.in_channel != channel * block.expansion:
downsample = nn.Sequential(
nn.Conv2d(self.in_channel, channel * block.expansion, kernel_size=1, stride=stride, bias=False),
nn.BatchNorm2d(channel * block.expansion))
layers = []
layers.append(block(self.in_channel,
channel,
downsample=downsample,
stride=stride,
groups=self.groups,
width_per_group=self.width_per_group))
self.in_channel = channel * block.expansion
for _ in range(1, block_num):
layers.append(block(self.in_channel,
channel,
groups=self.groups,
width_per_group=self.width_per_group))
return nn.Sequential(*layers)
def forward(self, x):
x = self.conv1(x)
x = self.bn1(x)
x = self.relu(x)
x = self.maxpool(x)
x = self.layer1(x)
x = self.layer2(x)
x = self.layer3(x)
x = self.layer4(x)
if self.include_top:
x = self.avgpool(x)
x = torch.flatten(x, 1)
x = self.fc(x)
return x
并且项目对模型进行了优化改进,改进的内容是增加CBAM注意力机制,项目里可以实现对以上任意一种模型增加CBAM注意力机制。
常见的做法是先选择2-4种候选模型(9种模型都用有点多,推荐选部分你喜欢的模型)做对比实验,选出性能最好的模型,在最优的模型的基础上,进一步增加cbam注意力机制,进行优化改进。如果老师要求高,可以在进一步做消融实验(即模型改进优化前后的对比实验)。
CBAM机制的核心代码如下:
# CBAM 注意力模块实现 (可复用)
class CBAM(nn.Module):
def __init__(self, channels: int, reduction_ratio: int = 16, kernel_size: int = 7):
super(CBAM, self).__init__()
# 通道注意力
self.channel_att = nn.Sequential(
nn.AdaptiveAvgPool2d(1),
nn.Conv2d(channels, channels // reduction_ratio, kernel_size=1, bias=False),
nn.ReLU(inplace=True),
nn.Conv2d(channels // reduction_ratio, channels, kernel_size=1, bias=False),
nn.Sigmoid()
)
# 空间注意力
self.spatial_att = nn.Sequential(
nn.Conv2d(2, 1, kernel_size=kernel_size, padding=kernel_size // 2, bias=False),
nn.Sigmoid()
)
def forward(self, x: torch.Tensor) -> torch.Tensor:
# 通道注意力
channel_att = self.channel_att(x)
x_channel = x * channel_att
# 空间注意力
max_pool = torch.max(x_channel, dim=1, keepdim=True)[0]
avg_pool = torch.mean(x_channel, dim=1, keepdim=True)
spatial_att = self.spatial_att(torch.cat([max_pool, avg_pool], dim=1))
x_out = x_channel * spatial_att
return x_out
CBAM结构的示意图如下:
CBAM注意力机制是一种用于前馈卷积神经网络的简单而有效的注意力模块。 给定一个中间特征图,CBAM模块会沿着两个独立的维度(通道和空间)依次推断注意力图,然后将注意力图与输入特征图相乘以进行自适应特征优化。 由于CBAM是轻量级的通用模块,因此可以忽略的该模块的开销而将其无缝集成到任何CNN架构中,并且可以与基础CNN一起进行端到端训练。
首先,输入是一个中间特征图,将特征图输入至Channel Attention Module 获取通道注意力,然后将注意力权重作用于中间特征图。
然后,将施加通道注意力的特征图输入至Spatial Attention Module 获取空间注意力,然后将注意力权重作用到特征图上。
最终,经过这两个注意力模块的串行操作,最初的特征图就经过了通道和空间两个注意力机制的处理,自适应细化特征。
训练完模型可以做对比实验,通过写代码可以制作对比曲线图和柱状图,项目的最终实验效果如下:



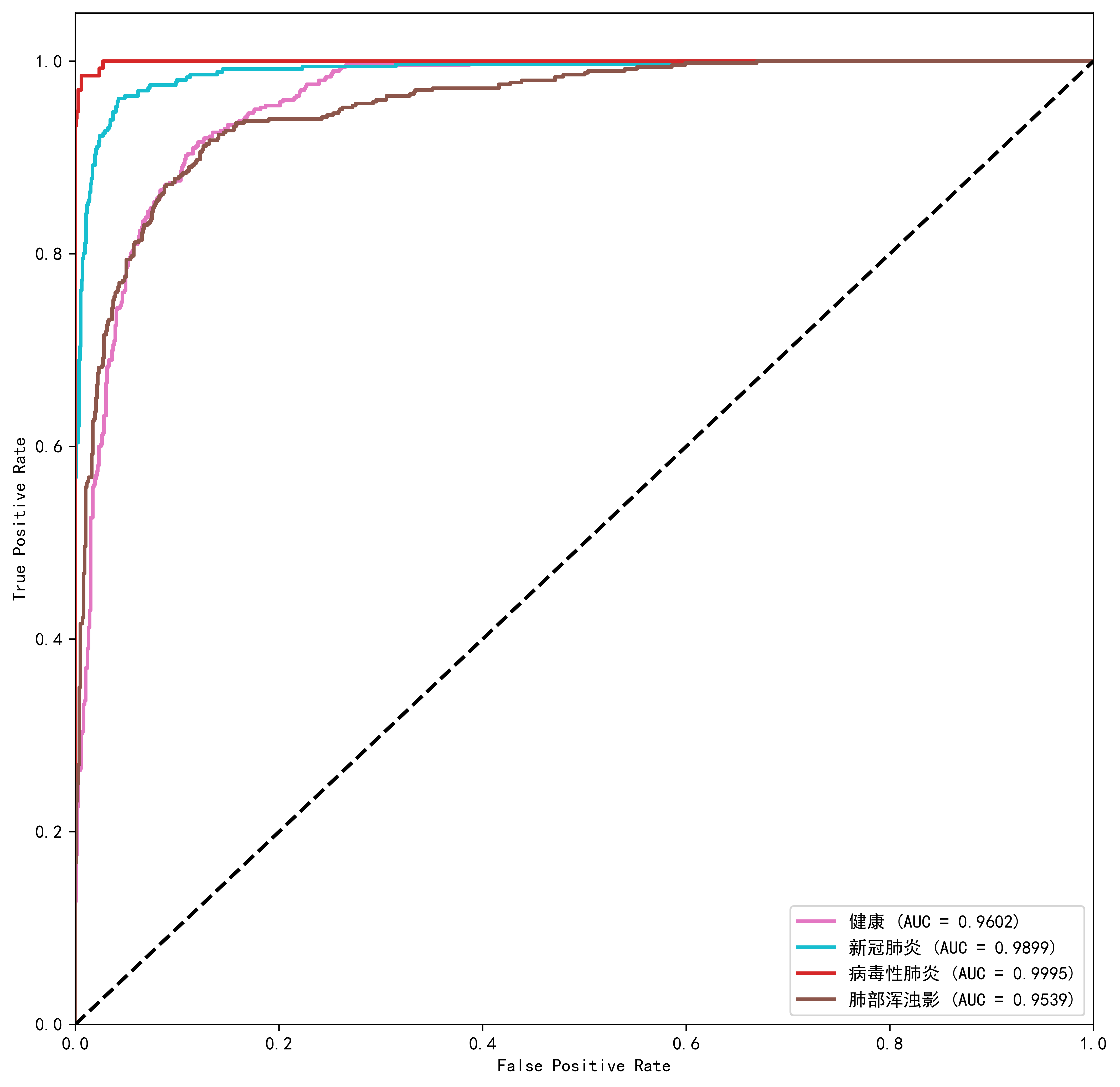
模型最终能达到92%以上的准确率
除了对比实验之外,还可以进一步分析模型的性能,其中
混淆矩阵实验图如下:

ROC曲线实验图如下:

以上是实验的内容。
最后基于Python的Django框架,制作最终的演示系统,最终结果预览如下:


本项目包含:
1.多模型的对比实验和图表,丰富了项目的内容。
2. 模型的优化改进,实现项目的重新。
3. 混淆矩阵和ROC等实验分析,拓展的项目的深度和内容量
4.实现了最终的演示系统,实现了项目的落地和应用。
openvela 操作系统专为 AIoT 领域量身定制,以轻量化、标准兼容、安全性和高度可扩展性为核心特点。openvela 以其卓越的技术优势,已成为众多物联网设备和 AI 硬件的技术首选,涵盖了智能手表、运动手环、智能音箱、耳机、智能家居设备以及机器人等多个领域。
更多推荐




所有评论(0)